二苯并环辛炔-聚乙二醇-马来酰亚胺, DBCO-PEG-Mal,DBCO-PEG-马来酰亚胺的应用介绍
文章来源 : 齐岳生物
作者:齐岳小编zyl
发布时间 : 2022-09-19 16:05:25
点击量 :
产品名称:二苯并环辛炔-聚乙二醇-马来酰亚胺, DBCO-PEG-Mal,DBCO-PEG-马来酰亚胺的应用介绍
产品描述:
应用介绍
马来酰亚胺-PEG-DBCO(dibenzocycolctyne)是一种不需要金属催化剂就能进行化学反应的DBCO-PEG衍生物。环辛炔和叠氮化合物的链促1,3-偶极环加成反应,也称为无铜点击反应,是一种生物正交反应,可使两个分子在水溶液中共轭。DBCO PEG衍生物在水相缓冲液中具有快速动力学和稳定性。DBCO试剂可用于标记叠氮化物修饰的生物分子,无需使用有毒的铜催化剂。同时,马来酰亚胺基在pH值为6.5-7.5时能与巯基(Thoil)反应。聚乙二醇化可以增加肽和蛋白质的溶解性和稳定性,并降低其原性。它还可以抑制带电分子与修饰表面的非特异性结合。
英文名称:DBCO-PEG-Mal
DBCO-PEG-Maleimide
中文名称:二苯并环辛炔-聚乙二醇-马来酰亚胺
分子量:1k,2k,3.4k,5k,10k,20k(可按需定制)
质量控制:95%+
存储条件:-20°C,避光,避湿
外观: 固体或粘性液体,取决于分子量
注意事项:取用一定要干燥,避免频繁的溶解和冻干
溶解性:溶于大部分有机溶剂,如:DCM、DMF、DMSO、THF等等。在水中有很好的溶解性
取用:现配现用,将包装从冰箱中取出,置于干燥器中缓慢升至室温,打开瓶盖,取用。取用后充入惰性气体,封口膜封口,拧紧瓶盖装入自封袋,及时放入冰箱。
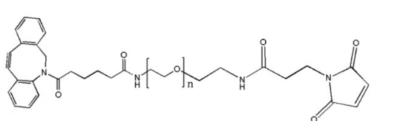
结构式:

定制合成服务:
西安齐岳生物科技有限公司提供各种复杂的PEG衍生物定制服务,荧光标记肽,各种特殊基因,各种特殊蛋白或分子,多肽修饰PEG的偶联。
1. 提供各种复杂、特殊的PEG产品定制;
2. 拥有齐全的PEG产品备库可提供几千多种产品种类;
3. 提供多种官能团修饰,性能好,纯度高,产品分子量200~40k;
4. 生产工艺简化,杂质低,品质稳定,取代率纯度大于95%;
PEG分子量可定制,1000,5000,3400,10000等等
相关产品:
DBCO-PEG-Dansyl 二苯并环辛炔-聚乙二醇-丹磺酰氯
DBCO-PEG-NBD 二苯并环辛炔-聚乙二醇-胆固醇
DBCO-PEG-Cyanur 二苯并环辛炔-聚乙二醇-氰尿酸
DBCO-PEG-TRITC 二苯并环辛炔-聚乙二醇-四甲基罗丹明
DBCO-PEG-6-FAM 二苯并环辛炔-聚乙二醇-6-羧甲基荧光素
DBCO-PEG-FITC 二苯并环辛炔-聚乙二醇-异硫氰基荧光素
DBCO-PEG-CY3 二苯并环辛炔-聚乙二醇-菁染料CY3
DBCO-PEG-CY5 二苯并环辛炔-聚乙二醇-菁染料CY5
DBCO-PEG-CY5.5 二苯并环辛炔-聚乙二醇-菁染料CY5.5
温馨提示:为了获得产品使用效果,材料应始终在干燥条件下保持低温,避免经常解冻和冻结。为确保产品的稳定性,请注意在恒温干燥以后才能打开包装取用!
温馨提示:仅用于科研!!!
厂家:西安齐岳生物科技有限公司
联系我们:
邮箱:2519696869@qq.com
QQ: 2519696869
电话:18066853083
微信:18066853083
公司介绍:
西安齐岳生物科技有限公司是集化学科研和定制与一体的高科技化学公司。业务范围包括化学试剂和产品的研发、生产、销售等。涉及产品为通用试剂的分销、非通用试剂的定制与研发,涵盖生物科技、化学品、中间体和化工材料等领域。
主营产品:COF、MOF单体系列:三蝶烯衍生物、金刚烷衍生物、四苯甲烷衍生物、peg、上转换、石墨烯、光电材料、点击化学、凝集素、载玻片、蛋白质交联剂、脂质体、蛋白、多肽、氨基酸、糖化学等。
免责声明:本产品只可用于科研,不能用于人体,如不遵守,产生任何后果与本公司无关!
转载联系作者并注明出处:http://0qy.com/zixunxinxi/62240.html


