29

2022-09

Tetrazine-PEG-DBCO 四嗪-聚乙二醇-二苯基环辛炔

DBCO(二苯并环辛炔)是一种环炔烃,可以通过在水溶液中通过应变促进的1,3-偶极环加成反应与叠氮化物反应,这种生物正交反应也称为无铜点击反应。 该反应具有选择性和生物相容性,因此互补试剂可以与功能生物系统形成共价键。 无铜点击反应一直是无催化剂生物

29

2022-09

胆固醇聚乙二醇二苯基环辛炔 CLS-PEG-DBCO

DBCO(二苯并环辛炔)是一种环炔烃,可以通过在水溶液中通过应变促进的1,3-偶极环加成反应与叠氮化物反应,这种生物正交反应也称为无铜点击反应。 该反应具有选择性和生物相容性,因此互补试剂可以与功能生物系统形成共价键。 无铜点击反应一直是无催化剂生物

28

2022-09

PEG-2(OH)-COOH 羟基-聚乙二醇-羟基-链中间有羧基

PEG-2(OH)-COOH 羟基-聚乙二醇-羟基-链中间有羧基 Poly(ethylene glycol), with carboxy-group in center of polymer 中文名称:羟基-聚乙二醇-羟基-链中间有羧基英文简称:PE

28

2022-09

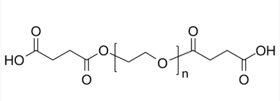
PEG-2COOH/PEG-2SA 聚乙二醇-双羧基(丁二酸)

PEG-2COOH/PEG-2SA 聚乙二醇-双羧基(丁二酸) Poly(ethylene glycol), α,ω-bis(carboxy [succinic acid])-terminated 中文名称:聚乙二醇-双羧基(丁二酸)英文简称:PEG

28

2022-09

HO-PEG-COOH 羟基-聚乙二醇-羧基(丁二酸)

HO-PEG-COOH 羟基-聚乙二醇-羧基(丁二酸) Poly(ethylene glycol), (α-carboxy [succinic acid], ω-hydroxy)-term 中文名称:羟基-聚乙二醇-羧基(丁二酸)英文简称:HO-PE

28

2022-09

PEG-2COOH/PEG-2GA 羟基-聚乙二醇-双羧基(戊酸)

PEG-2COOH/PEG-2GA 羟基-聚乙二醇-双羧基(戊酸) Poly(ethylene glycol), α,ω-bis(carboxy [glutaric acid])-terminated 中文名称:羟基-聚乙二醇-双羧基(戊酸)英文简称

28

2022-09

HO-PEG-COOH 羟基-聚乙二醇-羧基(戊酸)

HO-PEG-COOH 羟基-聚乙二醇-羧基(戊酸) Poly(ethylene glycol), (α-carboxy [glutaric acid], ω-hydroxy)-terminated中文名称:羟基-聚乙二醇-羧基(戊酸)英文简称:HO

27

2022-09

1416881-53-2 2,3,5,6-四(9-咔唑基)-对苯二腈 4CzTPN

cas:1416881-53-2 2,3,5,6-四(9-咔唑基)-对苯二腈 4CzTPNCAS Number1416881-53-2Linear FormulaC56H32N6Purity>98 % (HPLC), SublimedApp

27

2022-09

1416881-55-4 2,3,5,6-四(3,6-二苯基-9-咔唑基)-对苯二腈

1416881-55-4 2,3,5,6-四(3,6-二苯基-9-咔唑基)-对苯二腈CAS Number1416881-55-4Linear FormulaC104H64N6Purity>98 % (HPLC)AppearanceRed Pow

27

2022-09

cas2153433-46-4 4CzTPN-Bu 光电材料

cas2153433-46-4 4CzTPN-Bu 光电材料CAS Number2153433-46-4Linear FormulaC88H96N6Purity>98 % (HPLC)AppearanceOrange PowderSolubil

点击这里给我发消息

微信客服

微信联系

联系电话 : 18066853083

邮箱 : 2265195031@qq.com

地址 : 陕西省西安市莲湖区永新路18号天赐苑6幢10302-B80号

齐岳微信公众号

齐岳微信公众号

齐岳官方微信

齐岳官方微信

ALL Rights Reserved. 西安齐岳生物科技有限公司版权所有. 陕ICP备20008861号-4