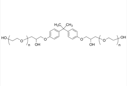
PEG-2OH 聚乙二醇(α,ω-双羟基封端) 链中间含(双酚A-co-环氧氯丙烷)连接剂
产品名称:PEG-2OH 聚乙二醇(α,ω-双羟基封端) 链中间含(双酚A-co-环氧氯丙烷)连接剂
产品描述:
PEG-2OH 聚乙二醇(α,ω-双羟基封端) 链中间含(双酚A-co-环氧氯丙烷)连接剂
Poly(ethylene glycol)

中文名称:聚乙二醇(α,ω-双羟基封端)
英文简称:PEG+BPECHran
英文全称:Poly(ethylene glycol), with (Bisphenol A-co-epichlorohydrin) linker
英文别名:Poly(ethylene glycol), reacted with Bisphenol A diglycidyl ether.
CAS号:PEG: 25322-68-3
分子式:HO(C2H4O)n C21H26O4 (C2H4O)nH
主链结构:直链高分子
主要成分:PEO/PEG
亲疏水性:亲水
产品类型:链端羟基高分子
荧光/发光:无
外观/形态:固态粉末或颗粒(以实际外观为准)
用途:科研
包装: 瓶装
供应商:西安齐岳生物科技有限公司
温馨提示:仅用于科研!
西安齐岳生物科技有限公司提供PLGA,PCL,PAMAM,PAA等聚合物的定制合成,提供基本活性基团修饰,荧光标记等等
相关产品:
聚己内酯-聚乙二醇-叶酸 PCL-PEG-FA; PCL-PEG-Folate
聚己内酯-聚乙二醇-活性酯 PCL-PEG-NHS
聚乳酸羟基乙酸共聚物-聚乙二醇-叠氮 PLGA-PEG-N3; PLGA-PEG-Azide
聚乳酸PEG氨基 氨基PEG聚乳酸 氨基PEG聚丙交酯 聚丙交酯聚乙二醇氨基 PLA-PEG-NH2 NH2-PEG-PLA
聚乳酸PEG羧基 羧基PEG聚乳酸 羧基PEG聚丙交酯 聚丙交酯聚乙二醇羧基 PLA-PEG-COOH COOH-PEG-PLA
cRGD-PEG-PLGA PEG2K,PLGA12K(75:25)现货,其他分子量
聚乳酸羟基乙酸共聚物-聚乙二醇-羟基 PLGA-PEG-OH
联系我们:
邮箱:2519696869@qq.com
QQ: 2519696869
电话:18066853083
微信:18066853083
公司介绍:
西安齐岳生物科技有限公司是集化学科研和定制与一体的高科技化学公司。业务范围包括化学试剂和产品的研发、生产、销售等。涉及产品为通用试剂的分销、非通用试剂的定制与研发,涵盖生物科技、化学品、中间体和化工材料等领域。
主营产品:COF、MOF单体系列:三蝶烯衍生物、金刚烷衍生物、四苯甲烷衍生物、peg、上转换、石墨烯、光电材料、点击化学、凝集素、载玻片、蛋白质交联剂、脂质体、蛋白、多肽、氨基酸、糖化学等。


