PEG-DA | AC-PEG-AC 聚乙二醇-二丙烯酸酯 分子量可定制
产品名称:PEG-DA | AC-PEG-AC 聚乙二醇-二丙烯酸酯 分子量可定制
产品描述:
PEG-DA | AC-PEG-AC 聚乙二醇-二丙烯酸酯 分子量可定制
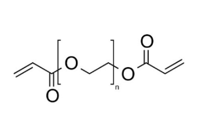
Poly(ethylene glycol) diacrylate

中文名称:聚乙二醇-二丙烯酸酯
英文简称:PEG-DA
英文全称:Poly(ethylene glycol) diacrylate
CAS号:26570-48-9
分子式:C3H3O[C2H4O]nO2C3H3
主链结构:直链均聚物
主要成分:PEO/PEG
亲疏水性:亲水
产品类型:端基功能化修饰高分子
荧光/发光:无
外观/形态:固态粉末或颗粒(以实际外观为准)
用途:科研
包装: 瓶装
供应商:西安齐岳生物科技有限公司
温馨提示:仅用于科研!
西安齐岳生物科技有限公司提供PLGA,PCL,PAMAM,PAA等聚合物的定制合成,提供基本活性基团修饰,荧光标记等等
相关产品:
聚丙烯酸叔丁酯-羧基 分子量定制
聚乳酸-聚乙二醇-醛 PLA-PEG-CHO
聚己内酯-聚乙二醇-羟基 PCL-PEG-OH
聚己内酯-聚乙二醇-荧光素 PCL-PEG-FITC
聚己内酯-聚乙二醇-罗丹明B PCL-PEG-RB
聚己内酯-聚乙二醇-丙烯酸酯 PCL-PEG-AC
聚己内酯-聚乙二醇-醛 PCL-PEG-CHO
联系我们:
邮箱:2519696869@qq.com
QQ: 2519696869
电话:18066853083
微信:18066853083
公司介绍:
西安齐岳生物科技有限公司是集化学科研和定制与一体的高科技化学公司。业务范围包括化学试剂和产品的研发、生产、销售等。涉及产品为通用试剂的分销、非通用试剂的定制与研发,涵盖生物科技、化学品、中间体和化工材料等领域。
主营产品:COF、MOF单体系列:三蝶烯衍生物、金刚烷衍生物、四苯甲烷衍生物、peg、上转换、石墨烯、光电材料、点击化学、凝集素、载玻片、蛋白质交联剂、脂质体、蛋白、多肽、氨基酸、糖化学等。


