27

2022-09

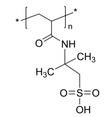
PAMPS 聚(2-丙烯酰胺-2-甲基丙磺酸) 亲水高分子均聚物的结构式

PAMPS 聚(2-丙烯酰胺-2-甲基丙磺酸) 亲水高分子均聚物的结构式 PAMPS 聚(2-丙烯酰胺-2-甲基丙磺酸) 亲水高分子均聚物 Poly(2-acrylamido-2-methylpropane sulfonic acid)中文名称:聚(

27

2022-09

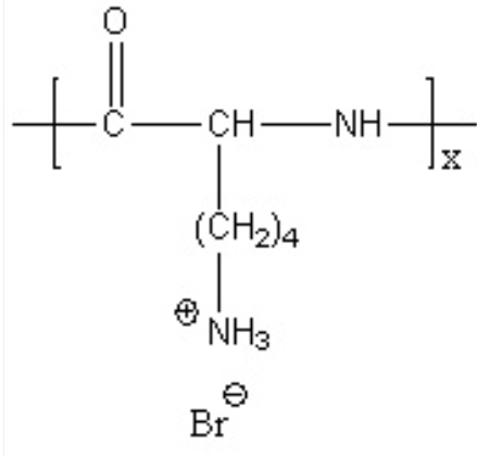
PLO 聚L鸟氨酸氢溴酸盐 聚氨基酸 CAS 27378-49-0

PLO 聚L鸟氨酸氢溴酸盐 聚氨基酸Poly(L-ornithine hydrobromide)CAS#27378-49-0中文名称:聚L鸟氨酸氢溴酸盐英文简称:PLO英文全称:Poly(L-ornithine hydrobromide)CAS号:2

27

2022-09

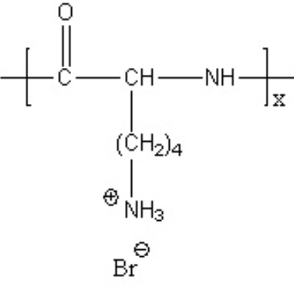
PDKB 聚D赖氨酸氢溴酸盐 聚氨基酸 CAS#27964-99-4

PDKB 聚D赖氨酸氢溴酸盐 聚氨基酸-细胞培养用 Poly(D-lysine hydrobromide), CAS#27964-99-4中文名称:聚D赖氨酸氢溴酸盐英文简称:PDKB英文全称:Poly(D-lysine hydrobromide)C

27

2022-09

PLKB 聚L赖氨酸氢溴酸盐 聚氨基酸 CAS#25988-63-0

PLKB 聚L赖氨酸氢溴酸盐 聚氨基酸-细胞培养用 Poly(L-lysine hydrobromide), CAS#25988-63-0中文名称:聚L赖氨酸氢溴酸盐水溶液 0.01%PLKB英文简称:PLKB英文全称:Poly(L-lysine)

27

2022-09

聚L赖氨酸氢溴酸盐水溶液 0.01%PLKB 聚氨基酸-CAS#25988-63-0

聚L赖氨酸氢溴酸盐水溶液 0.01%PLKB 聚氨基酸-细胞培养用 Poly(L-lysine) Solution 0.01% (w/v) in waterCAS#25988-63-0中文名称:聚L赖氨酸氢溴酸盐水溶液 0.01%PLKB英文简称:P

27

2022-09

PRE 聚D,L谷氨酸钠盐 聚氨基酸-均聚物 Poly(D,L-glutamic acid sodium salt)

PRE 聚D,L谷氨酸钠盐 聚氨基酸-均聚物 Poly(D,L-glutamic acid sodium salt)中文名称:聚D,L谷氨酸钠盐英文简称:PRE英文全称:Poly(D,L-glutamic acid sodium salt)CAS号:

26

2022-09

MPEG-SH甲氧基聚乙二醇巯基试剂说明

mPEG-SHMPEG-SH甲氧基聚乙二醇巯基【试剂名称】MPEG-SH、甲氧基聚乙二醇 巯基、mpeg甲氧基【试剂详情】外观:白色固体或白色液体,取决于分子量。溶解度:溶于大部分有机溶剂,溶于水。保存条件:2-8℃低温,避光,干燥条件下保存。分子量

26

2022-09

DSPE-PEG-GRGDS磷脂-聚乙二醇-黏附多肽化学性质介绍

DSPE-PEG-GRGDS磷脂-聚乙二醇-黏附多肽化学性质介绍聚乙二醇是一种高分子聚合物,化学式是HO(CH2CH2O)nH ,由环氧乙烷与水或乙二醇逐步加成聚合而成。无刺激性,味微苦,具有良好的水溶性。化学性状:依分子量不同而性质不同,从无色无臭

26

2022-09

Mal-PEG-COOH 马来酰亚胺聚乙二醇羧基化学性质介绍

MAL-PEG2K-COOHMal-PEG-COOH 马来酰亚胺聚乙二醇羧基Mal-PEG-COOH 马来酰亚胺聚乙二醇羧基英文名称: Maleimide (polyethylene glycol) Acid中文名称:马来酰亚胺聚乙二醇羧基产品信息

23

2022-09

mPEG-PDLLA,甲氧基聚乙二醇-聚乳酸右旋嵌段共聚物产品说明

mPEG5k-PDLLA16kmPEG-PDLLA,甲氧基聚乙二醇-聚乳酸右旋甲氧基聚乙二醇-聚DL-丙交酯(mPEG-PDLLA)中文名称:甲氧基聚乙二醇-聚DL-丙交酯 英文名称:monomethoxyl poly(ethylen

点击这里给我发消息

微信客服

微信联系

联系电话 : 18066853083

邮箱 : 2265195031@qq.com

地址 : 陕西省西安市莲湖区永新路18号天赐苑6幢10302-B80号

齐岳微信公众号

齐岳微信公众号

齐岳官方微信

齐岳官方微信

ALL Rights Reserved. 西安齐岳生物科技有限公司版权所有. 陕ICP备20008861号-4