13

2022-10

盐酸米托蒽醌聚乙二醇化脂质体的简单描述

盐酸米托蒽醌聚乙二醇化脂质体文献描述:盐酸米托蒽醌(Mitoxantrone hydrochloride, DHAD)为合成的蒽环类抗癌药物,抗肿瘤谱广,临床应用广泛.聚乙二醇化(PEG化)脂质体是一种新型微粒给药系统,可改变药物的体内动力学特性,延

13

2022-10

mPEG-DSPE修饰的紫杉醇脂质体

mPEG-DSPE修饰的紫杉醇脂质体纯度:99%供应商:西安齐岳生物科技有限公司产地:西安用途:科研包装:mg和G级描述:采用甲氧基聚乙二醇磷脂酰乙醇胺(mPEG-DSPE)修饰紫杉醇脂质体,并考察其在大鼠体内的药动学行为.方法:合成两亲线型聚合物m

13

2022-10

大豆磷脂酰乙醇胺-甲氧基聚乙二醇2000

大豆磷脂酰乙醇胺-甲氧基聚乙二醇2000文献介绍:磷脂酰乙醇胺-聚乙二醇是一类拥有长循环特点的、生物相容性极优的两亲性镶嵌聚合物,在脂质体、微乳液等的制备中有着较为普遍的使用,但其价格较为昂贵,使其在广泛应用中受到很大限制。以大豆磷脂和甲氧基聚乙二醇

13

2022-10

聚乙二醇化多西紫杉醇脂质体的定制合成

聚乙二醇化多西紫杉醇脂质体的定制合成!!!纯度:99%供应商:西安齐岳生物科技有限公司产地:西安用途:科研包装:mg和G级文献介绍:科研人员筛选制备聚乙二醇化多西紫杉醇脂质体的优良的处方和工艺.方法:采用薄膜-超声分散法制备聚乙二醇化多西紫杉醇脂质体

13

2022-10

掺入不同形式聚乙二醇的大黄素脂质体的制备 !!!

掺入不同形式聚乙二醇的大黄素脂质体的制备 !!!纯度:99%供应商:西安齐岳生物科技有限公司产地:西安用途:科研包装:mg和G级文献介绍:准备掺入甲氧基聚乙二醇2000 (mPEG2000)、二硬脂酰乙醇胺-聚乙二醇2000(DSPE-PEG2000

13

2022-10

藤黄酸B (morellic acid B,MAB)聚乙二醇单甲醚(mPEG)化脂质体(MAB-mPEG-LPS)

藤黄酸B (morellic acid B,MAB)聚乙二醇单甲醚(mPEG)化脂质体(MAB-mPEG-LPS)纯度:99%供应商:西安齐岳生物科技有限公司产地:西安用途:科研包装:mg和G级文献描述:藤黄酸B (morellic acid B,M

13

2022-10

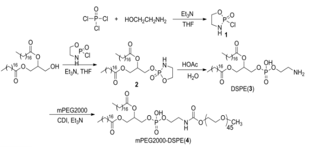
脂质体药用辅料mPEG2000-DSPE的合成 !!!

脂质体药用辅料mPEG2000-DSPE的合成 !!!文献介绍:以氧氯化磷,乙醇胺及1,2-二硬脂酸甘油酯为原料,经环合,磷酰化及水解反应制得1,2-二硬脂酰甘油磷酰乙醇胺(DSPE);在N,N′-羰基二咪唑作用下,DSPE与甲氧基聚乙二醇(mPEG

12

2022-10

PEI2K-PLGA5K聚乙烯亚胺-聚乳酸产品说明

PEI2K-PLGA5K【中文名称】聚乙烯亚胺-聚乳酸【英文名称】PEI-PLGA【分子量】PEI分子量:2000PLGA分子量:5000(50:50)【纯 度】 95【保 存】避光,干燥,-20℃西安齐岳生物供应可以提供各种不同聚合物的嵌

12

2022-10

PLA-NH2聚DL-丙交酯-氨基产品介绍

PLA100K-NH2左消旋聚乳酸-胺 PLA-NH2 聚丙交酯分子量定制聚乳酸-氨基,PDLLA-NH2, PLA-NH2别名:聚DL-丙交酯-氨基,聚乳酸(外消旋)-氨基英文名称:poly(DL-lactide)-Amine外观:灰白色/棕色固体

12

2022-10

PLGA-MAL 聚(D,L-乳酸-CO-乙醇酸)共聚物-马来酰亚胺产品介绍

PLGA13K-MALPLGA-MAL 聚(D,L-乳酸-CO-乙醇酸)共聚物-马来酰亚胺产品名称 HO-PLGA-Mal,马来酰亚胺封端聚(D,L-丙交酯-co-乙交酯)共聚物中文名称 马来酰亚胺封端聚(D,L-丙交酯-co-乙交酯)共聚物英文名称

点击这里给我发消息

微信客服

微信联系

联系电话 : 18066853083

邮箱 : 2265195031@qq.com

地址 : 陕西省西安市莲湖区永新路18号天赐苑6幢10302-B80号

齐岳微信公众号

齐岳微信公众号

齐岳官方微信

齐岳官方微信

ALL Rights Reserved. 西安齐岳生物科技有限公司版权所有. 陕ICP备20008861号-4