02

2022-12

c(RGDfV),cyclo(RGDfV),137813-35-5

c(RGDfV),cyclo(RGDfV),137813-35-5名称:c(RGDfV)|cyclo(RGDfV)|137813-35-5序列:cyclo(Arg-Gly-Asp-d-Phe-Val)纯度:95% (HPLC)分子式:C26H38N8

02

2022-12

c(RADfC)|cyclo(Arg-Ala-Asp-d-Phe-Cys)|1055991-02-0

名称:c(RADfC)|cyclo(Arg-Ala-Asp-d-Phe-Cys)|1055991-02-0序列:cyclo(Arg-Ala-Asp-d-Phe-Cys)纯度:95% (HPLC)分子式:C25H36N8O7S分子量:592.66外观:

02

2022-12

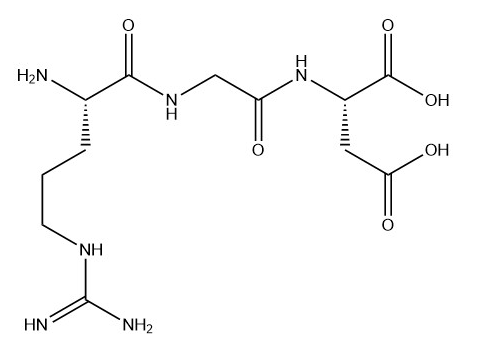
RGD|Arg-Gly-Asp|99896-85-2

名称:RGD|Arg-Gly-Asp|99896-85-2序列:Arg-Gly-Asp纯度:98% (HPLC)分子式:C12H22N6O6分子量:346.34外观:白色粉末CAS#:99896-85-2储存条件:Store at -20C溶解性:H

02

2022-12

GRGDS|Gly-Arg-Gly-Asp-Ser|96426-21-0

名称:GRGDS|Gly-Arg-Gly-Asp-Ser|96426-21-0序列:Gly-Arg-Gly-Asp-Ser纯度:98% (HPLC)分子式:C17H30N8O9分子量:490.47外观:白色粉末CAS#:96426-21-0储存条件:

02

2022-12

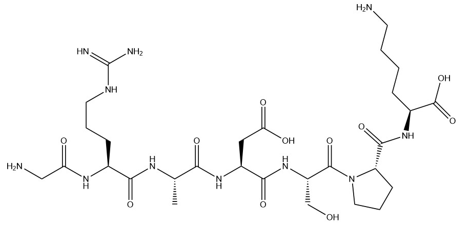
GRADSPK|Gly-Arg-Ala-Asp-Ser-Pro-Lys|125455-58-5

名称:GRADSPK|Gly-Arg-Ala-Asp-Ser-Pro-Lys|125455-58-5序列:Gly-Arg-Ala-Asp-Ser-Pro-Lys纯度:98% (HPLC)分子式:C29H51N11O11分子量:729.78外观:白色粉

02

2022-12

c(RGDfE)|cyclo (Arg-Gly-Asp-d-Phe-Glu)

名称:c(RGDfE)|cyclo (Arg-Gly-Asp-d-Phe-Glu)序列:cyclo (Arg-Gly-Asp-d-Phe-Glu)纯度:95% (HPLC)分子式: C26H36N8O9分子量:604.61外观:白色粉末CAS#:储存

02

2022-12

环肽c(RGDyC),cyclo(RGDyC),cyclo(Arg-Gly-Asp-DTyr-Cys)

环肽c(RGDyC),cyclo(RGDyC),cyclo(Arg-Gly-Asp-DTyr-Cys)名称:c(RGDyC)|cyclo(RGDyC)|cyclo(Arg-Gly-Asp-DTyr-Cys)|序列:cyclo(Arg-Gly-Asp-

02

2022-12

c(RGDfK),161552-03-0,500577-51-5,Cyclo(Arg-Gly-Asp-D-Phe-Lys)

c(RGDfK),161552-03-0,500577-51-5,Cyclo(Arg-Gly-Asp-D-Phe-Lys)名称:c(RGDfK),Cyclo(Arg-Gly-Asp-D-Phe-Lys)序列:Cyclo(Arg-Gly-Asp-D-P

02

2022-12

c(RGDyK),217099-14-4,Cyclo(-Arg-Gly-Asp-D-Tyr-Lys)

c(RGDyK),217099-14-4,Cyclo(-Arg-Gly-Asp-D-Tyr-Lys)名称:c(RGDyK)|Cyclo(-Arg-Gly-Asp-D-Tyr-Lys)|217099-14-4序列:Cyclo(Arg-Gly-Asp-D

01

2022-12

BODIPY FL EDA, 4,4-Difluoro-5,7-Dimethyl-4-Bora-3a,4a-Diaza-s-Indacene-3-Propionyl Ethylenediamine,

BODIPY FL EDA, 4,4-Difluoro-5,7-Dimethyl-4-Bora-3a,4a-Diaza-s-Indacene-3-Propionyl Ethylenediamine, HydrochlorideBODIPY®FL ED

点击这里给我发消息

微信客服

微信联系

联系电话 : 18066853083

邮箱 : 2265195031@qq.com

地址 : 陕西省西安市莲湖区永新路18号天赐苑6幢10302-B80号

齐岳微信公众号

齐岳微信公众号

齐岳官方微信

齐岳官方微信

ALL Rights Reserved. 西安齐岳生物科技有限公司版权所有. 陕ICP备20008861号-4