07

2022-12

DSPE-PEG-TH磷脂-聚乙二醇-靶向肽TH产品说明

1、名称英文:DSPE-PEG-THTH-PEG-DSPE中文:磷脂-聚乙二醇-靶向肽TH二硬脂酰基磷脂酰乙醇胺-聚乙二醇-靶向肽TH2、分子量:DSPE-PEG2K-TH ,DSPE-PEG5K-TH 100mg 500mg 1g 包装,也可以根据

07

2022-12

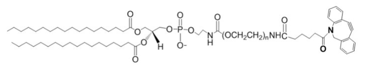
DBCO-PEG-DSPE(磷脂-聚乙二醇-二苯并环辛炔)产品描述

名称:DSPE-PEG-DBCO、DBCO-PEG-DSPE(磷脂-聚乙二醇-二苯并环辛炔)分类:DBCO PEG DSPE PEG纯度:95%+储存条件:-20℃,黑暗,干燥装运:环境温度DSPE-PEG-DBCO是一种磷脂PEG衍生物,用于脂质体

07

2022-12

DSPE-PEG5-COOH磷脂-五聚乙二醇-羟基产品说明

英文名称:DSPE-PEG5-COOH分子式:C54H1046P分子量:1054.39储存条件:-20C纯度:95%结构式:1、对蛋白质类修饰;2、对肽类化合物修饰;3、对脂质体修饰;4、有机小分子修饰;5、PEG修饰亲和配体和辅因子;6、PEG修饰

07

2022-12

胆固醇-聚乙二醇-马来酰亚胺CLS-PEG-MAL产品说明

『基本信息』中文名称 胆固醇-聚乙二醇-马来酰亚胺英文名称 Cholesterol-PEG-Maleimide,CLS-PEG-MAL所属分类 Maleimide PEG DSPE PEG质量控制 95%+纯度级别 分析纯AR贮存方法 干燥,避光,-

07

2022-12

DSPE-PEG-NH2/DSPE-PEG-amine/磷脂-聚乙二醇-氨基产品应用介绍

 应用:1、与脂质双分子层靶向给药,以提高药物溶解度;  2、PEG提供隐身性,延长循环半衰期,减少非特异性蛋白结合或细胞粘附;  3、胺基与、适配体、蛋白质、多肽等靶向分子生物偶联。  DSPE-PEG-NH2,DSPE-PEG-amine,磷脂-

07

2022-12

磷脂-聚乙二醇-荧光素/DSPE-PEG-FITC/Fluorescein-PEG-DSP产品说明

一、产品描述1、名称中文:磷脂-聚乙二醇-荧光素英文:DSPE-PEG-FITC,Fluorescein-PEG-DSP2、 分子量:20k,可选可定制PEG分子量3、 用法:仅用于科学研究实验4、 溶解度:溶于水和缓冲液、氯仿、二氯甲烷、DMF、D

07

2022-12

磷脂-聚乙二醇-醛基/DSPE-PEG-Aldehyde/DSPE-PEG-CHO产品说明

 一、详情介绍1、名称中文:磷脂-聚乙二醇-醛基 (MW:10000)英文:DSPE-PEG-Aldehyde,DSPE-PEG-CHO2、描述DSPE-PEG-CHO分子量:10k。质量控制在95%+,主要用于科研实验使用。它溶于水和缓冲液、二氯甲

07

2022-12

炔基-聚乙二醇-羧基55683-37-9/Propargyl-PEG1-COOH产品描述

CAS:55683-37-9英文名:Propargyl-PEG1-COOH含量:95%用途范围:适用于科学研究贮存条件:-20 c 长期保存,避光,干燥运输:环境温度外 观:粘稠液体或者固体粉末,取决于分子量保存条件:零下20℃,避光,干燥。溶 解

07

2022-12

硫辛酸-葡聚糖偶联物(LA-Dextran)

中文名称:硫辛酸-葡聚糖偶联物英文名称:LA-Dextran纯度:95%+存储条件:-20C,避光,避湿外观:固体或粘性液体包装:瓶装/袋装溶解性:溶于大部分有机溶剂,如:DCM、DMF、DMSO、THF等等。在水中有很好的溶解性注意事项:取用要保持

07

2022-12

甲胺喋呤-右旋糖酐偶联物(MTX-Dextran)

中文名称:甲胺喋呤-右旋糖酐偶联物英文名称:MTX-Dextran纯度:95%+存储条件:-20C,避光,避湿外观:固体或粘性液体包装:瓶装/袋装溶解性:溶于大部分有机溶剂,如:DCM、DMF、DMSO、THF等等。在水中有很好的溶解性注意事项:取用

点击这里给我发消息

微信客服

微信联系

联系电话 : 18066853083

邮箱 : 2265195031@qq.com

地址 : 陕西省西安市莲湖区永新路18号天赐苑6幢10302-B80号

齐岳微信公众号

齐岳微信公众号

齐岳官方微信

齐岳官方微信

ALL Rights Reserved. 西安齐岳生物科技有限公司版权所有. 陕ICP备20008861号-4