08

2022-12

DBCO-PEG-SH二苯并环辛炔-聚乙二醇-巯基产品说明

英文名称:DBCO-PEG-SHDBCO-PEG-Thiol中文名称:二苯并环辛炔-聚乙二醇-巯基分子量:1k,2k,3.4k,5k,10k,20k(可按需定制)质量控制:95%+存储条件:-20C,避光,避湿用 途:仅用于科学研究或者工业应用等非

08

2022-12

Mal-amido-PEG2-NHS马来酰亚胺-二聚乙二醇-丙烯酸琥珀酰亚胺酯产品描述

英文名称:Mal-amido-PEG2-NHS中文名:马来酰亚胺-二聚乙二醇-丙烯酸琥珀酰亚胺酯分子式:C18H23N3O9分子量:425.4CAS:955094-26-5纯度:95%结构式:用 途:仅供科研实验使用,不用于诊治 外 观:粘稠液体或者

08

2022-12

DBCO-S-S-PEG3-biotin产品说明

英文名称:DBCO-S-S-PEG3-biotin Biotin-PEG3-SS-DBCO分子式:C42H56N6O8S3分子量:869.1CAS:1430408-09-5纯度:95%结构式:用 途:仅供科研实验使用,不用于诊治 外 观:

08

2022-12

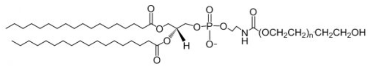
DSPE-PEG-OH磷脂-聚乙二醇-羟基产品描述

英文名称:DSPE-PEG-OHDSPE-PEG-Hydroxyl中文名称:磷脂-聚乙二醇-羟基分子量:1k,2k,3.4k,5k,10k,20k(可按需定制)质量控制:95%+存储条件:-20C,避光,避湿用 途:仅供科研实验使用,不用于诊治外观

08

2022-12

DBCO-PEG-FA二苯基环辛炔-聚乙二醇-叶酸产品描述

英文名称:DBCO-PEG-Folic acidDBCO-PEG-FA二苯基环辛炔-聚乙二醇-叶酸中文名称:二苯基环辛炔-聚乙二醇-叶酸分子量:1k,2k,3.4k,5k,10k,20k(可按需定制)质量控制:95%+存储条件:-20C,避光,避湿用

08

2022-12

二苯并环辛炔-四聚乙二醇-羧基产品描述

中文名称:二苯并环辛炔-四聚乙二醇-羧基CAS 号:1537170-85-6外 观:固体粉末分子式:C30H36N2O8分子量:552.6MFCD number:MFCD28122951溶解度:Water, DMSO, DMF纯 度:>95

08

2022-12

DBCO-PEG-Mal二苯并环辛炔-聚乙二醇-马来酰亚胺

英文名称:DBCO-PEG-MalDBCO-PEG-Maleimide中文名称:二苯并环辛炔-聚乙二醇-马来酰亚胺分子量:1k,2k,3.4k,5k,10k,20k(可按需定制)质量控制:95%+存储条件:-20C,避光,避湿用 途:仅用于科学研究

08

2022-12

Azido-PEG8-NHS ester叠氮-八聚乙二醇-琥珀酰亚胺酯产品描述

英文名称:Azido-PEG8-NHS ester N3-PEG8-NHS ester 2,5-dioxopyrrolidin-1-yl 1-azido-3,6,9,12,15,18,21,24-octaoxaheptacos

08

2022-12

Alkyne-PEG5-COOH 1245823-51-1

英文名称:Alkyne-PEG5-COOHCAS No.:1245823-51-1英文别名:Propargyl-PEG5-COOH产品纯度:95%分子式:C14H24O7分子量:304.3取用:现配现用分子量: 常规分子量或定制分子量溶解性:溶于大部

08

2022-12

Alkyne-PEG6-COOH 1951438-84-8

英文名称:Alkyne-PEG6-COOHCAS No.:1951438-84-8英文别名:Propargyl-PEG6-COOH产品纯度:95%分子式:C16H28O8分子量:348.4取用:现配现用分子量: 常规分子量或定制分子量溶解性:溶于大部

点击这里给我发消息

微信客服

微信联系

联系电话 : 18066853083

邮箱 : 2265195031@qq.com

地址 : 陕西省西安市莲湖区永新路18号天赐苑6幢10302-B80号

齐岳微信公众号

齐岳微信公众号

齐岳官方微信

齐岳官方微信

ALL Rights Reserved. 西安齐岳生物科技有限公司版权所有. 陕ICP备20008861号-4