12

2022-12

PLGA-PEG-NH2,MW:2000,3400,PLGA:50/50 氨基PEG聚乙交酯丙交酯

PLGA-PEG-NH2,MW:2000,3400,PLGA:50/50NH2-PEG-PLGA PLGA-PEG-NH2 氨基PEG聚乙交酯丙交酯结构示意图:英文简称:NH2-PEG-PLGA中文名称:氨基-聚乙二醇-聚乳酸羟基乙酸共聚物 氨基-聚

12

2022-12

PLGA-PEG-NH2,MW:1000,2000,5000,10000 功能性两亲嵌段共聚物

PLGA-PEG-NH2,MW:5000,5000PLGA-PEG-NH2 MW:10000,5000PLGA-PEG-NH2 MW:1000,2000PLGA-PEG-NH2英文名称:Poly(L-lactide-co-glycolide)-blo

12

2022-12

PLGA-PEG-NHS, MW:10000,3400 PLGA:50/50 聚乳酸-羟基乙酸共聚物-聚乙二醇-活性酯

PLGA-PEG-NHS, MW:10000,3400 PLGA:50/50 聚乳酸-羟基乙酸共聚物-聚乙二醇-活性酯PLGA-PEG-NHS, MW:10000,3400 PLGA:50/50PLGA-PEG-NHS MW:10000,5000 P

12

2022-12

PLGA-PEG-NHS, MW:20000,3400 PLGA:50/50 聚乳酸羟基乙酸共聚物聚乙二醇活性酯

PLGA-PEG-NHS, MW:20000,3400 PLGA:50/50PLGA-PEG-NHS聚乳酸羟基乙酸共聚物聚乙二醇活性酯产品信息PDI: <1.4取代率: 93+%检测报告: 核磁,COA是否接受定制: 是 起定数量要求:

12

2022-12

PLGA-PEG-NHS, PLGA20000 PEG3400 50:50 聚乳酸-羟基乙酸共聚物

PLGA-PEG-NHS, PLGA20000 PEG3400 50:50 聚乳酸-羟基乙酸共聚物PLGA-PEG-NHS MW:3400/聚乳酸-羟基乙酸共聚物PLGA-PEG-NHS英文名称:Poly(lactide-co-glycolide)

12

2022-12

PLGA-PEG-PLGA,Poly(lactide-co-glycolide)-b-Poly(ethylene glycol)-b-Poly (lactide-co-glycolide)

PLGA-PEG-PLGA英文名:Poly(lactide-co-glycolide)-b-Poly(ethylene glycol)-b-Poly (lactide-co-glycolide)Mw ~8,000:2,000:8,000 Da规格:M

12

2022-12

PLGA-PEG-PLGA MW:5000/2000

PLGA-PEG-PLGA MW:5000/2000Poly(lactic-co-glycolic acid)-b-Poly(ethylene glycol)-b-Poly(lactic-co-glycolic acid) copolymers, (

12

2022-12

PLGA-PEG-PLGA双聚乙二醇温敏二嵌段共聚物(相变温度35±2℃,15度±2度)

PLGA-PEG-PLGA双聚乙二醇温敏二嵌段共聚物(相变温度352℃,15度2度)PLGA-PEG-PLGA(相变温度352℃)PLGA-PEG-PLGA(35度2度)PLGA-PEG-PLGA(352度)PLGA-PEG-PLGA 35度2度PL

12

2022-12

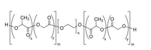
PLGA-PEG-PLGA 三嵌段温敏水凝胶,相变温度25度

PLGA-PEG-PLGA温敏水凝胶,相变温度25度PLGA-PEG-PLGA三嵌段温敏水凝胶产品全称:Poly(lactide-co-glycolide)-b-Poly(ethylene glycol)-b-Poly (lactide-co-gly

12

2022-12

PLGA-PEG-RB MW:10000,5000,PLGA-PEG-RB/PLGA-b-PEG-RhB/ 聚乳酸-羟基乙酸共聚物

PLGA-PEG-RB MW:10000,5000,PLGA-PEG-RB/PLGA-b-PEG-RhB/ 聚乳酸-羟基乙酸共聚物PLGA-PEG-RB MW:10000,5000PLGA-PEG-RB/PLGA-b-PEG-RhB/ 聚乳酸-羟基乙

点击这里给我发消息

微信客服

微信联系

联系电话 : 18066853083

邮箱 : 2265195031@qq.com

地址 : 陕西省西安市莲湖区永新路18号天赐苑6幢10302-B80号

齐岳微信公众号

齐岳微信公众号

齐岳官方微信

齐岳官方微信

ALL Rights Reserved. 西安齐岳生物科技有限公司版权所有. 陕ICP备20008861号-4