28

2022-12

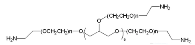
8-Arm PEG-amine八臂-聚乙二醇-氨基产品描述

 一:产品描述  1、名称  英文:8-Arm PEG-NH2,8-Arm PEG-amine  中文:八臂-聚乙二醇-氨基  2、CAS编号:N/A  3、所属分类:Amine PEG Multi-arm PEGs  4、分子量:可定制,8-Arm

28

2022-12

DSPE-PEG-amine磷脂-聚乙二醇-氨基产品说明

一:产品描述  1、名称  英文:DSPE-PEG-NH2,DSPE-PEG-amine  中文:磷脂-聚乙二醇-氨基  2、CAS编号:474922-26-4  3、所属分类:Amine PEGDSPE PEG  4、磷脂PEG氨基分子量:5000

28

2022-12

巯基PEG氨基(HS-PEG-NH2)产品说明

peg试剂的分子量均可定制,有:Thiol-PEG5000-amine、Thiol-PEG3400-amine、巯基-PEG20000-氨基、HS-PEG1000-NH2、HS-PEG2000-NH2、巯基-PEG10000-氨基 。该试剂质量控制为

28

2022-12

双-炔丙基-二聚乙二醇 Alkyne-PEG2-Alkyne 40842-04-4

中文名称:双-炔丙基-二聚乙二醇英文名称:Alkyne-PEG2-Alkyne CAS NO.: 40842-04-4状态:固体或粘稠液体,取决于分子量大小保存时间 1年端基取代率:95%存储条件:-20C,避光,避湿分子量(PEG):其他分子量或规

28

2022-12

Alkyne-PEG3-Alkyne 126422-57-9

英文名称:Alkyne-PEG3-AlkyneCAS NO.: 126422-57-9状态:固体或粘稠液体,取决于分子量大小保存时间 1年端基取代率:95%存储条件:-20C,避光,避湿分子量(PEG):其他分子量或规格可定制用途:仅用于科学研究,非

28

2022-12

Alkyne-PEG4-Alkyne 126422-58-0

英文名称:Alkyne-PEG4-AlkyneCAS NO.: 126422-58-0状态:固体或粘稠液体,取决于分子量大小保存时间 1年端基取代率:95%存储条件:-20C,避光,避湿分子量(PEG):其他分子量或规格可定制用途:仅用于科学研究,非

28

2022-12

Alkyne-PEG5-Alkyne 159428-42-9

英文名称:Alkyne-PEG5-AlkyneCAS NO.: 159428-42-9状态:固体或粘稠液体,取决于分子量大小保存时间 1年端基取代率:95%存储条件:-20C,避光,避湿分子量(PEG):其他分子量或规格可定制用途:仅用于科学研究,非

28

2022-12

Alkyne-PEG6-Alkyne 185378-83-0

英文名称:Alkyne-PEG6-AlkyneCAS No.:185378-83-0状态:固体或粘稠液体,取决于分子量大小保存时间 1年端基取代率:95%存储条件:-20C,避光,避湿分子量(PEG):其他分子量或规格可定制用途:仅用于科学研究,非医

28

2022-12

mPEG3-Alkyne 89635-82-5

英文名称:mPEG3-AlkyneCAS No.:89635-82-5状态:固体或粘稠液体,取决于分子量大小保存时间 1年端基取代率:95%存储条件:-20C,避光,避湿分子量(PEG):其他分子量或规格可定制用途:仅用于科学研究,非医疗目的,非药用

28

2022-12

mPEG4-Alkyne 1101668-39-6

英文名称:mPEG4-AlkyneCAS NO.: 1101668-39-6状态:固体或粘稠液体,取决于分子量大小保存时间 1年端基取代率:95%存储条件:-20C,避光,避湿分子量(PEG):其他分子量或规格可定制用途:仅用于科学研究,非医疗目的,

点击这里给我发消息

微信客服

微信联系

联系电话 : 18066853083

邮箱 : 2265195031@qq.com

地址 : 陕西省西安市莲湖区永新路18号天赐苑6幢10302-B80号

齐岳微信公众号

齐岳微信公众号

齐岳官方微信

齐岳官方微信

ALL Rights Reserved. 西安齐岳生物科技有限公司版权所有. 陕ICP备20008861号-4