04

2023-01

Amino-PEG6-acid氨基-六聚乙二醇-羧酸产品描述

英文名称: Amino-PEG6-acid中文名: 氨基-六聚乙二醇-羧酸分子式: C15H31NO8分子量: 353.4CAS: 905954-28-1纯度: 95%结构式:性 状:白色或微黄色粉状制剂 用 途:仅供科研实验使用,不用于诊治 外 观

04

2023-01

Bis-PEG9-acid,羧酸-八聚乙二醇-羧酸产品描述

英文名称: Bis-PEG9-acid中文名: 羧酸-八聚乙二醇-羧酸分子式: C22H42O13分子量: 514.6CAS: 1268488-70-5纯度: 95%结构式:性 状:白色或微黄色粉状制剂 用 途:仅供科研实验使用,不用于诊治 外 观:

04

2023-01

Amino-PEG4-acid ,氨基-四聚乙二醇-羧酸

英文名称: Amino-PEG4-acid中文名: 氨基-四聚乙二醇-羧酸分子式: C11H23NO6分子量: 265.3CAS: 663921-15-1结构式:性 状:白色或微黄色粉状制剂 用 途:仅供科研实验使用,不用于诊治 外 观:粘稠液体或者

04

2023-01

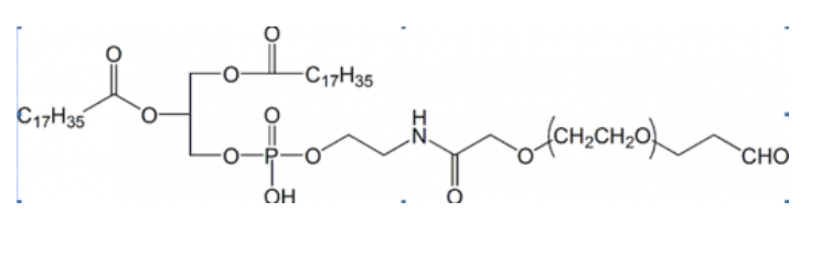
DSPE-PEG-CHO,二硬脂酰基磷脂酰乙醇胺PEG醛基

中文名称:二硬脂酰基磷脂酰乙醇胺PEG醛基英文:1,2-distearoyl-sn-glycero-3-phosphoethanolamine-N-(polyethyleneglycol)-CHO产品(http://www.chemdrug.com/

04

2023-01

二苯并环辛烯-聚乙二醇-二硬脂酰磷脂酰乙酰胺 (DBCO-PEG-DSPE)

中文名称:二苯并环辛烯-聚乙二醇-二硬脂酰磷脂酰乙酰胺 (DBCO-PEG-DSPE)别 名:DBCO-PEG-DSPE英文名称:DBCO-PEG-DSPE 分 子 量:400、600、1K、2K、3.4K、4K、5K、10K纯 度:90

04

2023-01

Biotin-PEG3-SPA 1253286-56-4

英文名称:Biotin-PEG3-SPACAS No.:1253286-56-4英文别名:Biotin-PEG3-NHS产品纯度:95%分子式:C23H36N4O9S产品简介:PEG衍生物依分子量不同而性质不同,从无色无臭黏稠液体至蜡状固体。分子量2

04

2023-01

Biotin-PEG4-SPA 459426-22-3

英文名称:Biotin-PEG4-SPACAS No.:459426-22-3英文别名:Biotin-PEG4-NHS产品纯度:95%分子式:C25H40N4O10S产品简介:PEG衍生物依分子量不同而性质不同,从无色无臭黏稠液体至蜡状固体。分子量2

04

2023-01

Biotin-PEG8-SPA 2143968-03-8

英文名称:Biotin-PEG8-SPACAS No.:2143968-03-8英文别名:Biotin-PEG8-NHS产品纯度:95%分子式:C33H56N4O14S分子量:764.9产品简介:PEG衍生物依分子量不同而性质不同,从无色无臭黏稠液体

04

2023-01

Biotin-PEG4-S-S-NHS 1260247-51-5

英文名称:Biotin-PEG4-S-S-NHSCAS No.:1260247-51-5产品纯度:95%分子式:C30H49N5O11S3产品简介:PEG衍生物依分子量不同而性质不同,从无色无臭黏稠液体至蜡状固体。分子量200~600者常温下是液体,

04

2023-01

Cl-NH-PEG4-NHS 1353011-95-6

英文名称:Cl-NH-PEG4-NHSCAS No.:1353011-95-6英文别名:Chloroacetamido-PEG4- NHS ester产品纯度:95%分子式:C17H27ClN2O9分子量:438.14产品简介:PEG衍生物依分子量不

点击这里给我发消息

微信客服

微信联系

联系电话 : 18066853083

邮箱 : 2265195031@qq.com

地址 : 陕西省西安市莲湖区永新路18号天赐苑6幢10302-B80号

齐岳微信公众号

齐岳微信公众号

齐岳官方微信

齐岳官方微信

ALL Rights Reserved. 西安齐岳生物科技有限公司版权所有. 陕ICP备20008861号-4