PC DBCO-PEG3-Biotin,PC 二苯并环辛炔-三聚乙二醇-生物素 参数信息
产品名称:PC DBCO-PEG3-Biotin,PC 二苯并环辛炔-三聚乙二醇-生物素 参数信息
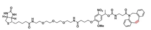
产品描述:
英文名称:PC DBCO-PEG3-Biotin
中文名称:PC 二苯并环辛炔-三聚乙二醇-生物素
分子式:C50H63N7O13S
分子量:1002.15
纯度:>95%
外观:淡黄色或白色固体
储存条件:-20°C,避光避湿
用途:仅供科研使用,不用于诊疗
结构式:

定制合成服务:
西安齐岳生物科技有限公司提供各种复杂的PEG衍生物定制服务,荧光标记肽,各种特殊基因,各种特殊蛋白或分子,多肽修饰PEG的偶联。
1. 提供各种复杂、特殊的PEG产品定制;
2. 拥有齐全的PEG产品备库可提供几千多种产品种类;
3. 提供多种官能团修饰,性能好,纯度高,产品分子量200~40k;
4. 生产工艺简化,杂质低,品质稳定,取代率纯度大于95%;
PEG分子量可定制,1000,5000,3400,10000等等
相关产品:
DBCO-PEG11-NH2
DBCO-PEG8-NH2
DBCO-PEG5-NH2
Active-Mono-Sulfone-PEG9-DBCO
Propane-1,2,3-(PEG11-DBCO)
DBCO-PEG5-COOH
DBCO-NHCO-PEG4-t-butyl ester
Hydroxy-PEG3-DBCO
储存时间:1年
保存:冷藏
温馨提醒:仅供科研,不能用于人体实验
联系我们:
邮箱:2519696869@qq.com
QQ: 2519696869
电话:18066853083
微信:18066853083
公司介绍:
西安齐岳生物科技有限公司是集化学科研和定制与一体的高科技化学公司。业务范围包括化学试剂和产品的研发、生产、销售等。涉及产品为通用试剂的分销、非通用试剂的定制与研发,涵盖生物科技、化学品、中间体和化工材料等领域。
主营产品:COF、MOF单体系列:三蝶烯衍生物、金刚烷衍生物、四苯甲烷衍生物、peg、上转换、石墨烯、光电材料、点击化学、凝集素、载玻片、蛋白质交联剂、脂质体、蛋白、多肽、氨基酸、糖化学等。


