PEO-cleav-P4VP-PS 聚环氧乙烷-聚(4-乙烯基吡啶)-聚苯乙烯 酸裂解ABC三嵌段共聚物
产品名称:PEO-cleav-P4VP-PS 聚环氧乙烷-聚(4-乙烯基吡啶)-聚苯乙烯 酸裂解ABC三嵌段共聚物
产品描述:
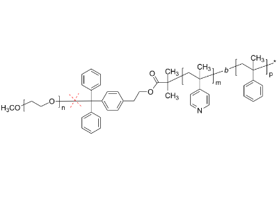
PEO-cleav-P4VP-PS 聚环氧乙烷-聚(4-乙烯基吡啶)-聚苯乙烯 酸裂解ABC三嵌段共聚物
中文名称:聚环氧乙烷-聚(4-乙烯基吡啶)-聚苯乙烯
英文简称:PEO-cleav-P4VP-PS
英文全称:Poly(ethylene oxide)-b-poly(4-vinyl pyridine)-b-poly(styrene), acid-cleavable at PEO block junction
英文别名:PEG-cleav-P4VP-PS
CAS号:n/a; PEO: 25322-68-3; PS: 9003-53-6; P4VP: 25232-41-1; mPEG: 9004-74-4
分子式:[C2H4O]n [C7H7N]m [C8H8]p
主链结构:ABC三嵌段共聚物
主要成分:P4VP
亲疏水性:两亲性
产品类型:酸裂解嵌段共聚物
荧光/发光:无
外观/形态:固态粉末或颗粒(以实际外观为准)

关于我们:
西安齐岳生物科技有限公司是国内的PEG衍生物供应商,我们可以供应各种小分子PEG,小分子聚乙二醇,活性酯PEG,叶酸PEG,生物素PEG,马来酰亚胺PEG,荧光素PEG,罗丹明PEG,丙烯酸酯PEG,磷脂PEG,琥珀酰亚胺PEG,炔基PEG,羟基PEG,叶酸PEG,硅烷PEG,甲氧基PEG,氨基PEG,羧基PEG,巯基PEG,叠氮PEG,八臂PEG,四臂PEG等试剂的定制合成。
相关产品:
氨基聚乙二醇聚天冬氨酸 NH2-PEG-PAsp Poly(L-lactide-co-glycolide)-PEG-Amine
羧基聚乙二醇聚天冬氨酸 COOH-PEG-PAsp Poly(L-aspartic acid)-PEG- Carboxylic acids
叠氮聚乙二醇聚天冬氨酸 N3-PEG-PAsp Poly(L-aspartic acid)-PEG-Azide
马来酰亚胺聚乙二醇聚天冬氨酸 Mal-PEG-PAsp Poly(L-aspartic acid)-PEG-Maleimide
叶酸聚乙二醇聚天冬氨酸 FA-PEG-PAsp Poly(L-aspartic acid)-PEG-Folic acid
叶酸聚乙二醇聚谷氨酸 FA-PEG-PGA Poly(glutamic acid)-PEG-Folate
聚谷氨酸聚乙二醇聚谷氨酸 PGA-b-PEG-b-PGA Poly(glutamic acid)-PEG-poly(glutamic acid)
氨基聚乙二醇聚谷氨酸 NH2-PEG-PGA poly(glutamic acid)-PEG-Amine
羧基聚乙二醇聚谷氨酸 COOH-PEG-PGA Poly(glutamic acid)-PEG-Carboxylic acids
巯基聚乙二醇聚谷氨酸 HS-PEG-PGA Poly(glutamic acid)-PEG-Thiol
叠氮聚乙二醇聚谷氨酸 N3-PEG-(γ)PGA Poly(glutamic acid)-PEG-Azide
马来酰亚胺聚乙二醇聚谷氨酸 Mal-PEG-PGA Poly(glutamic acid)-PEG-Maleimide
活性酯聚乙二醇聚苯丙氨酸 NHS-PEG-PPHE Poly Phenylalanine-PEG-NHS
氨基聚乙二醇聚苯丙氨酸 NH2-PEG-PPHE Poly Phenylalanine-PEG-Amine
羧基聚乙二醇聚苯丙氨酸 COOH-PEG-PPHE Poly Phenylalanine-PEG-Carboxylic acids
巯基聚乙二醇聚苯丙氨酸 HS-PEG-PPHE Poly Phenylalanine-PEG-Thiol
叠氮聚乙二醇聚苯丙氨酸 N3-PEG-PPHE Poly Phenylalanine-PEG-Azide
联系我们:
邮箱:2519696869@qq.com
QQ: 2519696869
电话:18066853083
微信:18066853083
公司介绍:
西安齐岳生物科技有限公司是集化学科研和定制与一体的高科技化学公司。业务范围包括化学试剂和产品的研发、生产、销售等。涉及产品为通用试剂的分销、非通用试剂的定制与研发,涵盖生物科技、化学品、中间体和化工材料等领域。
主营产品:COF、MOF单体系列:三蝶烯衍生物、金刚烷衍生物、四苯甲烷衍生物、peg、上转换、石墨烯、光电材料、点击化学、凝集素、载玻片、蛋白质交联剂、脂质体、蛋白、多肽、氨基酸、糖化学等。


