材料科学
高端化学
生命科学
发光材料
功能性化学
分析化学
其他产品
纳米材料定制
PEG衍生物
荧光标记定制
MOF材料定制
小分子定制
多肽定制
其他材料定制
联系我们
在线留言
P4VP-COOH 聚(4-乙烯基吡啶)-羧基 Poly(4-vinyl pyridine), ω-carboxy-t
PCL-2py 芘-聚己内酯-芘 荧光标记生物降解高分子
PCL-py 聚己内酯-芘 荧光标记生物降解高分子
PCL-naph 萘-聚己内酯-羟基 荧光标记生物降解高分子
PVL-2SH 聚戊内酯-双硫醇 链中间双巯基 生物降解高分子
HO-PVL-SH 羟基-聚戊内酯-硫醇 生物降解高分子
Cl-PVL-COOH 氯-聚戊内酯-羧基 生物降解高分子
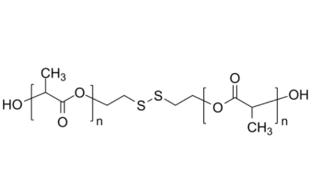
PDLLA-disulf 聚丙交酯(聚乳酸)-双羟基 链中间为二硫键 生物降解高分子
HO-PDLLA-SH | HO-PLA-SH 羟基-聚丙交酯(聚乳酸)-硫醇
微信客服
联系电话 : 18066853083
邮箱 : 2265195031@qq.com
地址 : 陕西省西安市莲湖区永新路18号天赐苑6幢10302-B80号
产品分类
定制产品
定制技术
技术文章
资讯信息
齐岳微信公众号
齐岳官方微信