材料科学
高端化学
生命科学
发光材料
功能性化学
分析化学
其他产品
纳米材料定制
PEG衍生物
荧光标记定制
MOF材料定制
小分子定制
多肽定制
其他材料定制
联系我们
在线留言
PS-P4VP 聚苯乙烯-聚(4-乙烯基吡啶) 电子级高分子二嵌段共聚物 Poly(styrene)-b-poly(4-
PS-P4VP 聚苯乙烯-聚(4-乙烯基吡啶) 电子级高分子二嵌段共聚物
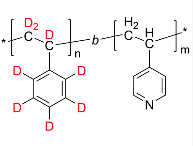
dPS-P4VP 聚(氘化苯乙烯-d8)-聚(4-乙烯基吡啶) 氘化二嵌段共聚物
P4VP-RAFT-P4VP 聚(4-乙烯基吡啶) 三硫代碳酸酯位于链中间 双端羧基 Poly(4-vinyl pyri
PS4VPran-OHT 羟基-聚苯乙烯共(4-乙烯基吡啶) 无规共聚物 Poly(styrene-co-4-vinyl
P4VP-PCL-SH 聚(4-乙烯基吡啶)-聚己内酯-硫醇 二嵌段共聚物 Br-P4VP-PCL-SH
P4VP-Vinyl 聚(4-乙烯基吡啶)-乙烯基 末端双键 Poly(4-vinyl pyridine), ω-vin
P4VP-SH 聚(4-乙烯基吡啶)-硫醇 Poly(4-vinyl pyridine), ω-thiol-termin
P4VP-OH 聚(4-乙烯基吡啶)-羟基 Poly(4-vinyl pyridine), ω-hydroxy-term
微信客服
联系电话 : 18066853083
邮箱 : 2265195031@qq.com
地址 : 陕西省西安市莲湖区永新路18号天赐苑6幢10302-B80号
产品分类
定制产品
定制技术
技术文章
资讯信息
齐岳微信公众号
齐岳官方微信