材料科学
高端化学
生命科学
发光材料
功能性化学
分析化学
其他产品
纳米材料定制
PEG衍生物
荧光标记定制
MOF材料定制
小分子定制
多肽定制
其他材料定制
联系我们
在线留言
P4VP-PtBuMA 聚(4-乙烯基吡啶)-聚甲基丙烯酸叔丁酯 两亲性二嵌段共聚物
PS-PEO-P4VP | PS-PEG-P4VP 聚苯乙烯-聚环氧乙烷-聚(4-乙烯基吡啶) ABC三嵌段共聚物
PS-oligo4VPQ 聚苯乙烯-低聚(4-乙烯基吡啶)(碘甲烷季铵化) 两亲性二嵌段共聚物
PS-oligo4VP 聚苯乙烯-低聚(4-乙烯基吡啶) 两亲性二嵌段共聚物
PEG-P4VP-SH 聚乙二醇-聚(4-乙烯基吡啶)-硫醇 二嵌段共聚物 Poly(ethylene oxide)-b
PS4VPQEOPOEOBr 聚苯乙烯共(4-乙烯基吡啶, PEO-PPO-PEO三嵌段共聚物季铵化)
PS4VPQEOPO 聚苯乙烯共(4-乙烯基吡啶, PPO-PEO二嵌段共聚物季铵化) 含接枝嵌段的无规共聚物
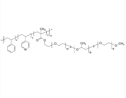
PS4VPEOPOEOran 聚苯乙烯共(4-乙烯基吡啶)共[PEO-PPO-PEO]甲基丙烯酸酯 含接枝嵌段的无规共聚
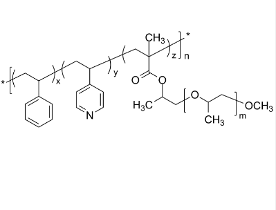
PS4VPPGMAran 聚苯乙烯共(4-乙烯基吡啶)共(低聚[丙二醇甲醚]甲基丙烯酸酯) 3组分无规共聚物
微信客服
联系电话 : 18066853083
邮箱 : 2265195031@qq.com
地址 : 陕西省西安市莲湖区永新路18号天赐苑6幢10302-B80号
产品分类
定制产品
定制技术
技术文章
资讯信息
齐岳微信公众号
齐岳官方微信